25 December, 2025
quantum-gravity-study-unveils-new-thermodynamic-insights-into-black-holes

Black holes have long fascinated scientists as a unique laboratory for exploring the fundamental connections between gravity, theory, and statistical mechanics. In a groundbreaking study, Amijit Bhattacharjee and Prabwal Phukon from Dibrugarh University, alongside their colleagues, investigate a novel approach known as restricted phase space thermodynamics. This method is applied to charged, static, and rotating black holes within a modified theory of gravity, offering fresh insights into these enigmatic cosmic entities.

The research distinguishes itself by maintaining a fixed cosmological constant while introducing a central charge and its associated chemical potential. This innovative framework allows for a consistent interpretation of black hole mass as internal energy. The team’s analysis reveals characteristics of both first and second-order phase transitions and importantly confirms a geometric correspondence between curvature singularities and specific heat capacity divergences. This demonstrates the power of this new thermodynamic framework to capture black hole criticality in modified gravity theories.

Exploring Deviations from Einstein’s General Relativity

Scientists are keenly interested in understanding how black holes behave when gravitational forces deviate from Einstein’s general relativity. This study focuses on modifications involving the Ricci scalar, employing restricted phase space thermodynamics to conduct a detailed analysis of black hole criticality and potential phase transitions. The research builds upon established connections between black hole event horizons and thermodynamic properties like entropy and temperature, aiming to uncover novel behaviors and deepen our understanding of black hole thermodynamics in these modified gravity scenarios.

The team successfully demonstrates that these methods reveal critical points and phase transitions analogous to those observed in ordinary matter. This provides valuable insights into the fundamental nature of gravity and black holes, potentially paving the way for future breakthroughs in theoretical physics.

Modified Gravity Black Hole Phase Transitions

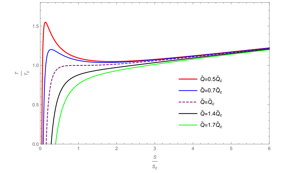
This study pioneers the application of restricted phase space thermodynamics (RPST) to charged static and rotating black holes within modified gravity theories, specifically f(R) gravity. Unlike conventional approaches, RPST maintains a fixed cosmological constant and introduces a central charge, allowing for a consistent interpretation of black hole mass as internal energy. Researchers derived key thermodynamic quantities and analyzed temperature-entropy and Helmholtz free energy-temperature behaviors to identify characteristics of both first and second-order phase transitions, evidenced by non-monotonic curves and swallow-tail structures.

To validate these findings, scientists employed geometrothermodynamics (GTD), a method that describes thermodynamic systems using differential geometry. The team demonstrated a precise correspondence between curvature singularities in the GTD scalar curvature and divergences in specific heat capacity curves, establishing a geometric link to phase transitions. This involved complex numerical analysis due to the two parameters present in the charged rotating black hole system, which researchers addressed by introducing a dimensionless parameter to simplify the analysis.

F(R) Gravity and Black Hole Thermodynamics

The research presents a systematic investigation of RPST applied to charged static and rotating black holes within the framework of f(R) gravity. Researchers demonstrated that RPST remains a consistent and predictive approach even when considering modifications to Einstein’s general relativity, specifically through the inclusion of higher-order curvature corrections present in f(R) gravity.

Analysis of thermodynamic quantities for charged static black holes revealed first-order phase transitions, evidenced by non-monotonic temperature-entropy curves and swallow-tail structures in free energy-temperature plots. For charged rotating black holes, while analytical solutions proved challenging, careful numerical analysis identified scaling relations and critical quantities, again confirming the presence of both first and second-order phase transitions.

To further validate these thermodynamic findings, the team employed geometrothermodynamics (GTD), establishing a clear correspondence between curvature singularities in GTD scalar curvature and divergences in specific heat capacity. Overall, this research demonstrates that RPST provides a conceptually sound and mathematically consistent framework for analyzing black hole thermodynamics in f(R) gravity, suggesting it captures universal aspects of black hole behavior independent of the underlying gravitational theory.

Implications and Future Directions

The implications of this study extend beyond theoretical physics, potentially influencing our understanding of the universe’s most mysterious phenomena. By providing a deeper insight into black hole thermodynamics, this research could inform future explorations into quantum gravity and the unification of general relativity with quantum mechanics.

As scientists continue to unravel the complexities of black holes, the methods and findings of this study may serve as a foundation for further investigations into the nature of gravity and its role in the cosmos. The continued exploration of modified gravity theories and their impact on black hole behavior remains a promising avenue for advancing our comprehension of the universe.